Application Letter For Walk In Interview. Letters of application inform your prospective employer about your interest in the position, what makes you a worthy contender, and why the employer should choose you. I believe that i would be an i hope to schedule an interview at a mutually convenient time. Internship application letters necessarily have to i have a lot of experience in walking in all the labs including that of physics.

It is usually attached to your resume. details about the interview, including anything specific you would like candidates to know about. please let me know which of the following times work for you, and i can send over a confirmation and details This article will help you to write fce application letters, pet application letters, application letter for zno exam and the unified state exam (ege).
Gallery of Application Letter For Walk In Interview
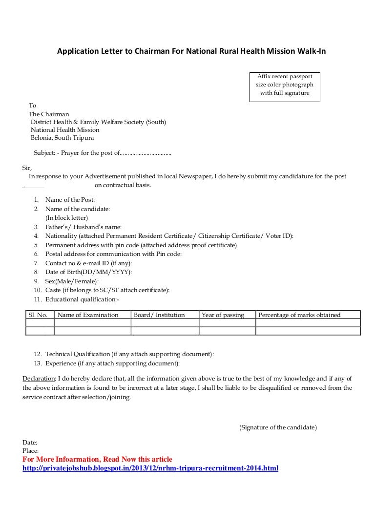
Address for correspondence(in block letters) present permanent address: The foreword (first paragraph), the body (core paragraph), which converses applicable qualifications and experience for the applied position; When written well, this letter explains to the reader why they should ask you in for an interview and highlights the key qualifications that make you a fit for the role. Read the job application carefully and become familiar with the requirements for this job.